| Автор |
Сообщение |
|
admin
|
 |
Заголовок сообщения: Блок питания из сгоревшей лампы или ещё из чего-то. Часть 1 Добавлено: 10 апр 2011, 22:01 |
|
Зарегистрирован: 13 июл 2009, 18:52 Сообщения: 7140
|
Топик из нескольких частей: Часть 1, Часть 2, Часть 3, Часть 4Обсуждаем статьи, делимся опытом.Статьи.Как за час сделать импульсный блок питания из сгоревшей лампочки?Как намотать импульсный трансформатор для сетевого блока питания?Ремонт зарядного устройства LI-10C от фотокамеры Olympus.Несколько слов про экранирование импульсного источика питания. Мелкие подробности
- О способах получения необходимого тока в цепи первичной обмотке трансформатора обратной связи импульсного блока питания с автогенерацией. Схема с двумя ОС от NickF.
- О способе снижения нагрева резистора, ограничивающего базовый ток ключей.
Дополнительные материалы.Вложение: Стабилизированный БП из балласта КЛЛ.pdf Вложение: БП для шуруповёрта из балласта КЛЛ.doc - Скачать книгу "Блоки питания для системных модулей типа IBM PC-XT/AT" (0,9мБ).
- Скачать программу универсальный, портативный "Калькулятор" (радиолюбителя) (0,5мБ).
- Скачать Справочник "Источники питания" Москатова в формате DJVU (10МБ).
- Электро-технический стравочник. Корякин-Черняк (5,4МБ). Есть информация по балластам на микросхемах.
- Даташит на микросхему MC34063 со схемами повышения выходного тока на основе транзисторов PNP и NPN структуры (1МБ).
- Как изготовить светодиодную лампу из КЛЛ (0,5МБ).
- Полезные программы и справочники для радиолюбителя.
Пароль на все архивы: oldoctober.com
|
|
| Вернуться к началу |
|
 |
|
Павел
|
Заголовок сообщения: Re: Блок питания из сгоревшей лампы или ещё из чего-нибудь. Добавлено: 11 дек 2011, 18:26 |
|
Зарегистрирован: 15 ноя 2011, 19:20 Сообщения: 955
|
|
admin подскажи как рассчитать витки трансформатора для броневого сердечника. У меня есть с внешним диаметром 21 мм. Можно ли так приравнять к кольцу, чтобы затем воспользоваться программкой для расчета импульсных трансформаторов?
| Вложения: |

Рисунок.JPG [ 21.23 Кб | Просмотров: 107688 ]
|
|
|
| Вернуться к началу |
|
 |
|
Павел
|
Заголовок сообщения: Re: Блок питания из сгоревшей лампы или ещё из чего-нибудь. Добавлено: 11 дек 2011, 18:27 |
|
Зарегистрирован: 15 ноя 2011, 19:20 Сообщения: 955
|
|
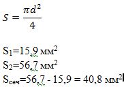
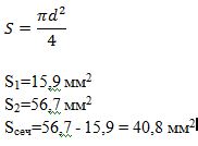
Расчет:
| Вложения: |

Расчет.JPG [ 12.36 Кб | Просмотров: 107688 ]
|
|
|
| Вернуться к началу |
|
 |
|
admin
|
Заголовок сообщения: Re: Блок питания из сгоревшей лампы или ещё из чего-нибудь. Добавлено: 11 дек 2011, 19:32 |
|
Зарегистрирован: 13 июл 2009, 18:52 Сообщения: 7140
|
|
Павел Можно, хуже не будет. Хотя, есть программы, да и формулы для расчёта трансформаторов на разных типах сердечников.
Я могу пояснить, почему я так легкомысленно отношусь к расчёту импульсных трансформаторов.
Во-первых, все расчёты основаны на опредёлённой индукции сердечника, которую обычно никто не измеряет. В то же время, она может очень сильно отличаться от той индукции, что обозначена на самом сердечнике и даже у сердечников из одной и той же партии. Например, известно, что при ударе индукция феррита снижается.
И, во-вторых, я когда-то сделал полный расчёт трансформатора для подобного блока питания и замерил индукцию феррита. Блок питания нормально заработал, но при подробном тестировании выяснилось, что для оптимальной работы преобразователя нужно всё равно увеличить количество витков.
Тут всё дело в том, что частота работы преобразователя точно неизвестна, да и она всё время меняется в зависимости от нагрузки. Поэтому, если иметь запас по количеству витков, то можно снизить ток потребления на ХХ, да и вообще немного снизить рабочую частоту под нагрузкой.
_________________ Сделай сам. О бюджетном решении технических, и не только, задач. >>>
|
|
| Вернуться к началу |
|
 |
|
Yurba07
|
Заголовок сообщения: Re: Блок питания из сгоревшей лампы или ещё из чего-нибудь. Добавлено: 13 дек 2011, 21:57 |
|
Зарегистрирован: 13 дек 2011, 21:35 Сообщения: 34
|
|
Огромное спасибо автору этой разработки!!! Всем привет. Воспользовался данной рекомендацией и остался ОЧЕНЬ доволен результатом!!! Для начала с некоторой долей неуверенности решил по-эксперементировать с баластом от лампы в 20 Вт.... Силовые транзисторы стояли 13003. Кондесатор после диодов поставил на 15 мкф 400 вольт. На дросселе не было свободного места для обмотки на 12 в... Разбираю дроссель и считаю кол-во витков... Получилось примерно 275... Под руки попалось ферритовое кольцо наружным диаметром 20мм... Изолирую лакотканью. Мотаю на него первичку 300 витков таким же проводом как и на дросселе.... Дроссель НЕ СТАВЛЮ обратно в схему. Лажу лакоткань. На вторичку методом ТЫКА подбираю примерно 16 вольт и вешаю автомобильную двухконтактную лампочку 21 + 6 Вт. В итоге получаю накрузку в 27 Вт при напряжении около 12 вольт... Через часа два под этой нагрузкой транзисторы без радиаторов!!! примерно 45-50 градусов, достаточно тёплые, но не горячие и мой новоиспечённый транс такой же.... Я снял почти 30 Вт с 20 Ваттного баласта!!! с минимальными переделками. Естественно я впаял перед мостом R0 5 Ом 1 Вт.
|
|
| Вернуться к началу |
|
 |
|
Yurba07
|
Заголовок сообщения: Re: Блок питания из сгоревшей лампы или ещё из чего-нибудь. Добавлено: 13 дек 2011, 22:22 |
|
Зарегистрирован: 13 дек 2011, 21:35 Сообщения: 34
|
|
И тут мне попадается на глаза шуруповёрт на 18 Вольт с убитым аккумулятором и разбитая энергосберегающяя лампа на 45 Вт... Транзисторы в баласте 13007 их я и оставил но прикрутил к радиатору от сгоревшего комп. бп. Меняю диоды в мосте на КД 226 Д, перед ними впаиваю резистор 4,7 Ом на 5 Вт. Ставлю кондёр в фильтре на 100 мкФ 400 В. Выпаиваю дроссель и мотаю на кольце 38 мм по наружи транс... 300 витков в три провода такого же сечения первичку, изолирую, и методом тыка вторичку со средней точкой на 19 В. Далее два Диода КД213 и кондёр на 1000 мкФ 25 В. Всё это хозяйство отлично разместилось в корпусе убитого аккумулятора. Я только трёх-метровый провод с сетевой вилкой добавил и теперь благодоря этой замечательной теме и этому замечательному сайту у меня электрический шуруповёрт. Раньше мне приходилось таскать за собой автомобильное зарядное... Блок питания получился лёгкий и настолько мощный, что закручиваю 120мм шурупы в брёвна. Ещё раз огромное спасибо за дельный совет!!!!
|
|
| Вернуться к началу |
|
 |
|
admin
|
Заголовок сообщения: Re: Блок питания из сгоревшей лампы или ещё из чего-нибудь. Добавлено: 13 дек 2011, 23:13 |
|
Зарегистрирован: 13 июл 2009, 18:52 Сообщения: 7140
|
|
| Вернуться к началу |
|
 |
|
Yurba07
|
Заголовок сообщения: Re: Блок питания из сгоревшей лампы или ещё из чего-нибудь. Добавлено: 14 дек 2011, 19:20 |
|
Зарегистрирован: 13 дек 2011, 21:35 Сообщения: 34
|
|
Всем привет, сердечник при разборке погиб.... Поэтому я и решился банально заменить дроссель намотанным на торроиде трансформатором.... То есть методом проб и ошибок.... И как ни странно получилось очень удачно.... Блок питания выглядит не очень эстетично... Нужен был срочно... Постораюсь при случае показать моё чудо.... Люди подсказали что такие дроссели или трансформаторы с ферритовым сердечником можно разобрать двумя способами: 1 - Поварить транс в кипятке минут 40, потом в перчатках аккуратно расшатать сердечник и разобрать его.. Правда после этого нужно перематывать все обмотки..... Я теперь так делаю. 2 - Нагреть транс в духовке примерно до 120 - 140 градусов и в перчатках аккуратно расшатать.... Ни чего по этому поводу сказать не могу.... Не пробывал....
|
|
| Вернуться к началу |
|
 |
|
admin
|
Заголовок сообщения: Re: Блок питания из сгоревшей лампы или ещё из чего-нибудь. Добавлено: 14 дек 2011, 20:42 |
|
Зарегистрирован: 13 июл 2009, 18:52 Сообщения: 7140
|
|
Yurba07 То, что люди говорят, я и сам знаю. Ферриты по науке должны склевать эпоксидной смолой с рабочей температурой 100оС и выше, но такую смолу в воде не разрушить.
Некоторые смолы выдерживают до 250оС. Тут и духовка не поможет, так как и каркас расплавится, и феррит может необратимо изменить свойства.
Поддаются разборке ферриты, склеенные смолой с рабочей температурой до 60оС, но мне такие в лампочках не попадались. Собственно, поэтому и спросил.
Проверить, на какой смоле собран феррит можно паяльником, если предварительно установить температуру жала равную температуре, скажем, 120оС.
_________________ Сделай сам. О бюджетном решении технических, и не только, задач. >>>
|
|
| Вернуться к началу |
|
 |
|
Yurba07
|
Заголовок сообщения: Re: Блок питания из сгоревшей лампы или ещё из чего-нибудь. Добавлено: 14 дек 2011, 20:46 |
|
Зарегистрирован: 13 дек 2011, 21:35 Сообщения: 34
|
|
| Вернуться к началу |
|
 |
|
admin
|
Заголовок сообщения: Re: Блок питания из сгоревшей лампы или ещё из чего-нибудь. Добавлено: 14 дек 2011, 20:52 |
|
Зарегистрирован: 13 июл 2009, 18:52 Сообщения: 7140
|
|
| Вернуться к началу |
|
 |
Кто сейчас на конференции |
Сейчас этот форум просматривают: нет зарегистрированных пользователей и гости: 7 |
|
Вы не можете начинать темы Вы не можете отвечать на сообщения Вы не можете редактировать свои сообщения Вы не можете удалять свои сообщения Вы не можете добавлять вложения
|
|
|